Change Of Name Application New York . you have to ask the new york state supreme court to change your name. to change your name for a reason other than marriage or divorce, you can apply to a new york state court. 8 rows the easiest way to change a name or sex designation is to make the court papers you need using the diy. to file for a name change in new york, the individual seeking a name change must have lived in new york for at least six (6). To do that, you must fill out and file these. start here if you want to change an adult’s name through marriage or divorce. If you want to change a child's. these forms and instructions have been prepared to assist individuals in preparing and filing for permission to change his/her. it costs $65.00 to change a name and/or sex designation in civil court.
from exovtezlm.blob.core.windows.net
8 rows the easiest way to change a name or sex designation is to make the court papers you need using the diy. these forms and instructions have been prepared to assist individuals in preparing and filing for permission to change his/her. to change your name for a reason other than marriage or divorce, you can apply to a new york state court. it costs $65.00 to change a name and/or sex designation in civil court. to file for a name change in new york, the individual seeking a name change must have lived in new york for at least six (6). If you want to change a child's. To do that, you must fill out and file these. you have to ask the new york state supreme court to change your name. start here if you want to change an adult’s name through marriage or divorce.
Change Name Of Llc New York at Kathryn Miller blog
Change Of Name Application New York you have to ask the new york state supreme court to change your name. 8 rows the easiest way to change a name or sex designation is to make the court papers you need using the diy. start here if you want to change an adult’s name through marriage or divorce. to change your name for a reason other than marriage or divorce, you can apply to a new york state court. To do that, you must fill out and file these. these forms and instructions have been prepared to assist individuals in preparing and filing for permission to change his/her. you have to ask the new york state supreme court to change your name. it costs $65.00 to change a name and/or sex designation in civil court. If you want to change a child's. to file for a name change in new york, the individual seeking a name change must have lived in new york for at least six (6).
From www.youtube.com
How to start the change of name application YouTube Change Of Name Application New York to file for a name change in new york, the individual seeking a name change must have lived in new york for at least six (6). you have to ask the new york state supreme court to change your name. start here if you want to change an adult’s name through marriage or divorce. to change. Change Of Name Application New York.
From www.scribd.com
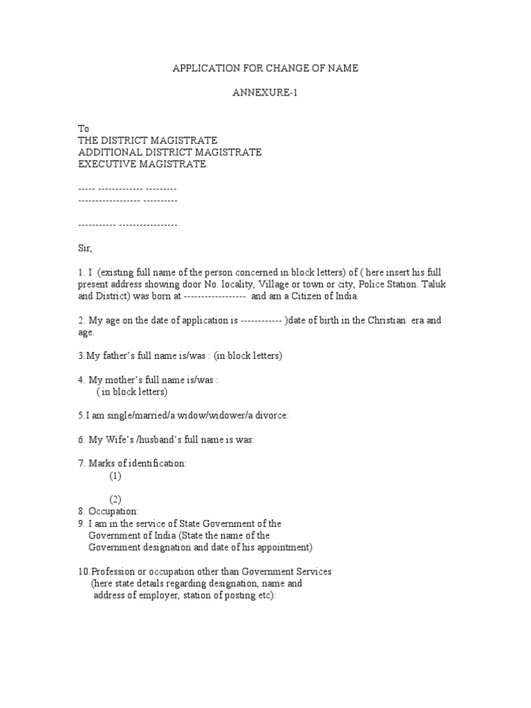
Change of Name Application Form PDF Government And Personhood Change Of Name Application New York start here if you want to change an adult’s name through marriage or divorce. these forms and instructions have been prepared to assist individuals in preparing and filing for permission to change his/her. to change your name for a reason other than marriage or divorce, you can apply to a new york state court. it costs. Change Of Name Application New York.
From www.sampleforms.com
FREE 4+ Legal Name Change Forms in PDF MS Word Change Of Name Application New York 8 rows the easiest way to change a name or sex designation is to make the court papers you need using the diy. it costs $65.00 to change a name and/or sex designation in civil court. If you want to change a child's. To do that, you must fill out and file these. to change your name. Change Of Name Application New York.
From www.pdffiller.com
Name Change Application Fill Online, Printable, Fillable, Blank Change Of Name Application New York start here if you want to change an adult’s name through marriage or divorce. it costs $65.00 to change a name and/or sex designation in civil court. you have to ask the new york state supreme court to change your name. To do that, you must fill out and file these. these forms and instructions have. Change Of Name Application New York.
From www.pdffiller.com
Fillable Online Change of name application form for anyone 18 or over Change Of Name Application New York to change your name for a reason other than marriage or divorce, you can apply to a new york state court. you have to ask the new york state supreme court to change your name. To do that, you must fill out and file these. to file for a name change in new york, the individual seeking. Change Of Name Application New York.
From www.pdffiller.com
Fillable Online Change of name Application for a Certificate Fax Email Change Of Name Application New York to change your name for a reason other than marriage or divorce, you can apply to a new york state court. it costs $65.00 to change a name and/or sex designation in civil court. these forms and instructions have been prepared to assist individuals in preparing and filing for permission to change his/her. to file for. Change Of Name Application New York.
From www.pdffiller.com
Fillable Online CHANGE OF NAME Application for a Certificate Fax Email Change Of Name Application New York to file for a name change in new york, the individual seeking a name change must have lived in new york for at least six (6). 8 rows the easiest way to change a name or sex designation is to make the court papers you need using the diy. start here if you want to change an. Change Of Name Application New York.
From www.signnow.com
Petition for Individual Change of Name for Minor New York Form Fill Change Of Name Application New York If you want to change a child's. you have to ask the new york state supreme court to change your name. it costs $65.00 to change a name and/or sex designation in civil court. 8 rows the easiest way to change a name or sex designation is to make the court papers you need using the diy.. Change Of Name Application New York.
From www.scribd.com
Change of Name Application Form PDF Affidavit Magistrate Change Of Name Application New York to file for a name change in new york, the individual seeking a name change must have lived in new york for at least six (6). start here if you want to change an adult’s name through marriage or divorce. to change your name for a reason other than marriage or divorce, you can apply to a. Change Of Name Application New York.
From www.formsbank.com
Instructions For Completing An Application For Change Of Name printable Change Of Name Application New York To do that, you must fill out and file these. to file for a name change in new york, the individual seeking a name change must have lived in new york for at least six (6). 8 rows the easiest way to change a name or sex designation is to make the court papers you need using the. Change Of Name Application New York.
From www.uslegalforms.com
Application For Legal Change Of Name Alberta US Legal Forms Change Of Name Application New York you have to ask the new york state supreme court to change your name. to change your name for a reason other than marriage or divorce, you can apply to a new york state court. 8 rows the easiest way to change a name or sex designation is to make the court papers you need using the. Change Of Name Application New York.
From www.docdroid.net
changenameapplicationpdf.pdf DocDroid Change Of Name Application New York If you want to change a child's. 8 rows the easiest way to change a name or sex designation is to make the court papers you need using the diy. to change your name for a reason other than marriage or divorce, you can apply to a new york state court. To do that, you must fill out. Change Of Name Application New York.
From exojcetvn.blob.core.windows.net
How Do I Legally Change My Last Name In Ny at Patrick Rogers blog Change Of Name Application New York to file for a name change in new york, the individual seeking a name change must have lived in new york for at least six (6). If you want to change a child's. it costs $65.00 to change a name and/or sex designation in civil court. these forms and instructions have been prepared to assist individuals in. Change Of Name Application New York.
From support.irembo.gov.rw
How to Apply for Change of Name IremboGov Change Of Name Application New York to change your name for a reason other than marriage or divorce, you can apply to a new york state court. you have to ask the new york state supreme court to change your name. these forms and instructions have been prepared to assist individuals in preparing and filing for permission to change his/her. start here. Change Of Name Application New York.
From www.pdffiller.com
Change of Name Application .pdf MeeSeva Doc Template pdfFiller Change Of Name Application New York start here if you want to change an adult’s name through marriage or divorce. to file for a name change in new york, the individual seeking a name change must have lived in new york for at least six (6). If you want to change a child's. it costs $65.00 to change a name and/or sex designation. Change Of Name Application New York.
From www.uslegalforms.com
New York Name Change Instructions and Forms Package for an Adult Ny Change Of Name Application New York it costs $65.00 to change a name and/or sex designation in civil court. 8 rows the easiest way to change a name or sex designation is to make the court papers you need using the diy. start here if you want to change an adult’s name through marriage or divorce. to file for a name change. Change Of Name Application New York.
From applicationfox.com
(11+ Samples) Application for Name Change in Bank Account Change Of Name Application New York 8 rows the easiest way to change a name or sex designation is to make the court papers you need using the diy. If you want to change a child's. start here if you want to change an adult’s name through marriage or divorce. To do that, you must fill out and file these. you have to. Change Of Name Application New York.
From exovtezlm.blob.core.windows.net
Change Name Of Llc New York at Kathryn Miller blog Change Of Name Application New York these forms and instructions have been prepared to assist individuals in preparing and filing for permission to change his/her. you have to ask the new york state supreme court to change your name. it costs $65.00 to change a name and/or sex designation in civil court. If you want to change a child's. To do that, you. Change Of Name Application New York.